https://dicook.org/files/vISEC2020/slides.html
Image credit: Di Cook, 2018
I'm going to talk about
I'm going to talk about
inference for data plots
I'm going to talk about
inference for data plots
a high-throughput analysis
I'm going to talk about
inference for data plots
a high-throughput analysis
and computer vision experiments,
Many of you (hopefully) use ggplot2 to make your plots with a grammar of graphics.
ggplot(data=DATA) + geom_something( mapping=aes(x=VAR1, y=VAR2, colour=VAR3) ) + extra nice stylingMany of you (hopefully) use ggplot2 to make your plots with a grammar of graphics.
ggplot(data=DATA) + geom_something( mapping=aes(x=VAR1, y=VAR2, colour=VAR3) ) + extra nice styling
A statistic is a function of a random variable(s). This is how the mapping can be interpreted.
Adding data gives a visual statistic
# Get some datalibrary(amt)data("deer")data("sh_forest")rsf1 <- deer %>% random_points(n=1500) %>% extract_covariates(sh_forest) %>% mutate(forest = sh.forest == 1) %>% rename(x=x_, y=y_, sighted=case_)# Plot itggplot(data=rsf1) + geom_point( aes(x=x, y=y, colour=sighted), alpha=0.7) + extra nice styling
Observed value of the statistic

ggplot(rsf1) + geom_bar( aes(x=sighted, fill=forest), position = "fill") + extra nice styling
For sighted vs forest habitat the mapping requires call to stat=count:
## # A tibble: 4 x 3## # Groups: sighted [2]## sighted forest count## <lgl> <lgl> <int>## 1 FALSE FALSE 1188## 2 FALSE TRUE 312## 3 TRUE FALSE 560## 4 TRUE TRUE 266Observed value of statistic

What's the null? What would be uninteresting?
ggplot(DATA) + geom_POINT( aes(x=x, y=y, colour=sighted), alpha=0.7) + extra nice styling
What's the null? What would be uninteresting?
ggplot(DATA) + geom_POINT( aes(x=x, y=y, colour=sighted), alpha=0.7) + extra nice styling
\(H_o:\) Sightings are uniformly distributed in space
\(H_a:\) Sightings are NOT uniformly distributed in space
Null generating mechanism could be to permute the labels of sighted variable. (Or could simulated a second uniform set of points.)
What's the null? What would be uninteresting?
ggplot(DATA) + geom_BAR( aes(x=sighted, fill=forest), position = "fill") + extra nice styling
What's the null? What would be uninteresting?
ggplot(DATA) + geom_BAR( aes(x=sighted, fill=forest), position = "fill") + extra nice styling
\(H_o:\) No relationship between sighted and forest habitat
\(H_a:\) Sightings in forest habitat more likely
Null generating mechanism could also be permute the labels of sighted (or forest) variable. (Or could simulate from a binomial.)
Which plot is different from the rest?
set.seed(20200624)library(nullabor)l <- lineup(null_permute("sighted"), rsf1, n=6)ggplot(l) + geom_point( aes(x=x, y=y, colour=sighted), alpha=0.3) + facet_wrap(~.sample, ncol=2) + extra nice styling

Which plot is different from the rest?
set.seed(20200624)library(nullabor)l <- lineup(null_permute("sighted"), rsf1, n=6)ggplot(l) + geom_point( aes(x=x, y=y, colour=sighted), alpha=0.3) + facet_wrap(~.sample, ncol=2) + extra nice styling

You say 1? Oh, that is the data plot.
set.seed(20200625)l <- lineup(null_permute("sighted"), rsf1, n=9)ggplot(l) + geom_bar( aes(x=sighted, fill=forest), position = "fill") + facet_wrap(~.sample, ncol=3) + extra nice styling
In which plot is the light brown bar on the right the tallest?

set.seed(20200625)l <- lineup(null_permute("sighted"), rsf1, n=9)ggplot(l) + geom_bar( aes(x=sighted, fill=forest), position = "fill") + facet_wrap(~.sample, ncol=3) + extra nice styling
In which plot is the light brown bar on the right the tallest?

Did you say 5? You're good!
I'm going to show you a page of plots
I'm going to show you a page of plots
Each has a number above it, this is its id
I'm going to show you a page of plots
Each has a number above it, this is its id
Choose the plot that you think exhibits the most separation between groups
I'm going to show you a page of plots
Each has a number above it, this is its id
Choose the plot that you think exhibits the most separation between groups
If you really need to choose more than one, or even not choose any, that is ok, too
I'm going to show you a page of plots
Each has a number above it, this is its id
Choose the plot that you think exhibits the most separation between groups
If you really need to choose more than one, or even not choose any, that is ok, too
Ready?
01:00

The data plot is

My guess is that nobody picked it?

LDA resulted in ... that gynes had the most divergent expression patterns
Toth et al (2010) Proc. of the Royal Society

LDA resulted in ... that gynes had the most divergent expression patterns
Toth et al (2010) Proc. of the Royal Society

... show that foundress and worker brain profiles are more similar to each other than to the other groups.
Toth et al (2007) Science
True data

Null data

Space is big, and with few data points, classes can easily be separated
Space is big, and with few data points, classes can easily be separated
spuriously
Space is big, and with few data points, classes can easily be separated
spuriously
The lineup protocol can help people understand the problem
If you first do dimension reduction (e.g. PCA), and then LDA, the problem goes away. LDA into three dimensions shown below.
All data

Top 12 PCs

Crowd-sourcing can help here
Majumder et al (2013) conducted validation study to compare the performance of the lineup protocol, assessed by human evaluators, in comparison to the classical test, using subjects employed with Amazon's Mechanical Turk.
Read about it at http://datascience.unomaha.edu/turk/exp2/index.html
\(H_o: \beta_k = 0 ~~vs ~~H_a: \beta_k \neq 0\)

Power analysis of human evaluation relative to classical test.
Effect \(= \frac{\sqrt{n}\times |\beta|}{\sigma}\)
Pooling the results from multiple people produces results that mirror the power of the classical test.

😓
The wasps example made us worried about our own RNA-Seq analyses!
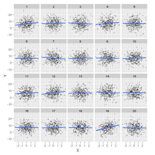
I'm going to show you a page of plots
I'm going to show you a page of plots
Each has a number above it, this is its id
I'm going to show you a page of plots
Each has a number above it, this is its id
Choose the plot that you think exhibits the
I'm going to show you a page of plots
Each has a number above it, this is its id
Choose the plot that you think exhibits the
Ready?
Experimental design 2x2 factorial:
Results from two different procedures, edgeR and DESeq provided conflicting numbers of significant genes, but on the order of 300 significant genes.
One of the top genes was selected for the lineup study, and independent observers engaged through Amazon's Mechanical Turk.
Is there any significant structure in our data?
Is there any significant structure in our data?
Pooling results gave a detection rate of 0.65, which is high. There is some structure to our data.
Two aspects of massive multiple testing
Two aspects of massive multiple testing
Even with these, mistakes can happen, and visualising the data remains valuable
💻
Monash Masters thesis by Shuofan Zhang
Starting from Majumder's validation study data:
\(H_o: \beta_k = 0 ~~vs ~~H_a: \beta_k \neq 0\)
Linear vs no relationship (null)
Same process, but with broader range of parameter settings, and a lot more data!
200,000 samples from each of linear and null scenario generated
\(\beta_1\sim \pm U[-10, -0.1]\) (linear, null when \(\beta_1=0\))
\(\sigma \sim U[1,12]\)
\(n=U[50,500]\)
Using same sample of \(n\), \(\beta\), \(\sigma\), new data generated, and images created numerically by binning (to 30x30 pixels), counting and scaling counts to 0-255.
Keras model fitted with 60,000 training images for each class, linear and not.
Accuracy with simulated test data, 93%. Null error 0.0179, linear error 0.1176
Code available in the file keras_correlation.r
Using same sample of \(n\), \(\beta\), \(\sigma\), new data generated, and images created numerically by binning (to 30x30 pixels), counting and scaling counts to 0-255.
Keras model fitted with 60,000 training images for each class, linear and not.
Accuracy with simulated test data, 93%. Null error 0.0179, linear error 0.1176
Code available in the file keras_correlation.r
Its blindingly fast!

Humans beat computers.

Humans beat computers.

Humans beat computers.
| Computer | |||
|---|---|---|---|
| Not | Linear | ||
| Human | Not | 27 | 0 |
| Linear | 15 | 28 | |
Computer tends to predict too many as "not linear".
Here's what I hope you heard:
^ Buja et al (2009) Statistical Inference for Exploratory Data Analysis and Model Diagnostics, RSPT A
^ Wickham et al (2010) Graphical Inference for Infovis, TVCG
^ Hofmann et al (2012) Graphical Tests for Power Comparison of Competing Design, TVCG
^ Majumder et al (2013) Validation of Visual Statistical Inference, Applied to Linear Models, JASA
^ Yin et al (2013) Visual Mining Methods for RNA-Seq data: Examining Data structure, Understanding Dispersion estimation and Significance Testing, JDMGP
^ Zhao, et al (2014) Mind Reading: Using An Eye-tracker To See How People Are Looking At Lineups, IJITA
^ Lin et al (2015) Does host-plant diversity explain species richness in insects? Ecological Entomology
^ Roy Chowdhury et al (2015) Using Visual Statistical Inference to Better Understand Random Class Separations in High Dimension, Low Sample Size Data
^ Loy et al (2017) Model Choice and Diagnostics for Linear, CS
Mixed-Effects Models Using Statistics on Street Corners, JCGS
^ Roy Chowdhury et al (2018) Measuring Lineup Difficulty By Matching Distance Metrics with Subject Choices in Crowd- Sourced Data, JCGS
Slides created via the R package xaringan, with iris theme created from xaringanthemer.
The chakra comes from remark.js, knitr, and R Markdown.
Slides are available at https://dicook.org/files/vISEC2020/slides.html and supporting files at https://github.com/dicook/vISEC2020.

This work is licensed under a Creative Commons Attribution-ShareAlike 4.0 International License.
Image credit: Di Cook, 2019
Keyboard shortcuts
| ↑, ←, Pg Up, k | Go to previous slide |
| ↓, →, Pg Dn, Space, j | Go to next slide |
| Home | Go to first slide |
| End | Go to last slide |
| Number + Return | Go to specific slide |
| b / m / f | Toggle blackout / mirrored / fullscreen mode |
| c | Clone slideshow |
| p | Toggle presenter mode |
| t | Restart the presentation timer |
| ?, h | Toggle this help |
| Esc | Back to slideshow |